Xiaoyuan Jiang
Shanghai Jiao Tong University
On January 9, 2020, the fourth lecture of the series of "Science and Civilization" academic lectures was held in the B101 lecture hall of Peking University Second Gymnasium. Professor Jiang Xiaoyuan from Shanghai Jiao Tong University published a wonderful report entitled "Commercial Operations of the Distinguishing Famous International Scientific Journals". The lecture was chaired by Professor Zhang Daqing, Deputy Director of the Department of History of Science, Technology and Medicine at Peking University.
Professor Zhang Daqing introduced that Professor Jiang Xiaoyuan was the first dean of School of History and Culture of Science in Shanghai Jiao Tong University. In 1999, he established China’s first department of history of science at Shanghai Jiao Tong University. Professor Jiang has published a number of famous writings, and his academic thoughts on the history of science and scientific culture have been highly evaluated both at home and abroad. Researching SCI journals is a very challenging topic. Jiang Xiaoyuan and his research group made an evidence-based investigation on the historical transformation process ofNatureand other magazines of changing from a popular science magazine to a "Dual Publication". They also investigated reviews that providing shortcuts to improve the impact factor and the impact of the current "open access movement" on the academic thoughts, revealing the commercial operations of distinguishing these famous international journals.

Professor Jiang Xiaoyuan summarized that the lecture would be divided into three parts: how the impact factor game got started, how leading magazines manipulated the impact factor, and the unknown story of the open access movement. The contents of the first two parts of the impact factor was related to the past and present of academic journals; the third part of the open access movement was related to the present and future of journals.
The beginning of the impact factor game
Impact Factor is an important indicator to evaluate the quality of journals. It is attached great importance to by scholars domestically and internationally. When you do not know a journal well, the impact factor can help you learn about the quality of the journal. However, it is important that we figure out what the impact factor is all about.
Impact Factor, SCI (Scientific Citation Index) and JCR (Journal Citation Report) are usually mentioned when it comes to evaluating journals. The publisher of them is the "Institute for Scientific Information" (ISI). Many people mistake it for an international authority, but it is actually a commercial company. The founder of ISI, Eugene Garfield, told the media in his later years that the reason for naming the company was that people would mistakenly think that it was a government agency. In fact, this effect of his plan was indeed achieved, and it was more effective for scholars in developing countries .
I’ll give you a brief review of important events after the establishment of ISI. In 1960, the company changed its name to "Institute of Scientific Information"; in 1964, it began to publish SCI reports; in 1973, it published SSCI reports to expand its business into the humanity reports; in 1973, it published JCR reports and launched the impact factor game; in 1978, it published The A & HCI reports that were within the field of arts.
These contents above directly related to academics are known to everyone, but the commercial changes taking place at the same time may be little known. From the introduction of impact factors to the present, ISI has changed its ownership several times. In 1988, Garfield sold more than 50% of the company's shares to JPT; in 1992, Thomson Reuters acquired JPT in order to obtain JPT’s shares; in 2016, Thomson Reuters sold the business to Clarivate Analytics. Now most people associate impact factors with Thomson Reuters only because Thomson Reuters has been in charge of the business of impact factor for the longest time. Through these "business reselling", you will fully understand thatimpact factors, JCR, SCI, etc. are all products of commercial companies.
The problem is, are the products of private companies necessarily unfair? Indeed, only pointing out that the impact factor is issued by a private business organization does not negate its impartiality, so the second part will take a look at what the impact factor is and how it is manipulated.
Manipulating impact factor
After the impact factor game began, one of the most benefited publications is the famousNature. When Garfield launched the impact factor game, he often published articles advocating impact factor ofNatureandScience. At that time, there was a lot of academic controversies about the impact factor, but there were few dissenting articles publish in the two journals. The formula for calculating the impact factor can be changeable. It underwent a revision once. This revision has greatly raised the ranking ofNatureandScience. In the words of Professor Jiang, Garfield was in “unspoken collusion” with these journals. Impact factor formulas created convenience for journals. If journals are "smart" enough, they will know how to manipulate impact factor by using formulas.
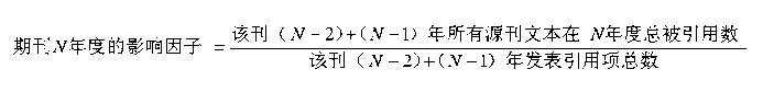
Before revealing the secret, I will first show you the impact factor algorithm. Although Chinese attach great importance to it, few people may be able to explain its algorithm clearly.
The standard definition of the impact factor algorithmis: the total number of citations of source items published by journal X in the previous two years, divided by the total number of articles published by journal X in the previous two years, that is the number of the impact factor of the journal X that year. The "source items" refers to all texts published in any journal of SCI (later including SSCI and A & HCI). The formula is expressed as:

I’ll explain this formula in detail. Its numerator and denominator contain different contents: the denominator is only the number of Articles, the research articles, which is called "cited items"; and the numerator is the number of citations of all articles in the journal, including "cited items" and "Non-cited items". In other words, if you want to increase the impact factor, the most obvious way is toreduce the number of Article.
Chinese may not be familiar with this way, because almost all articles in our academic journals are “cited items”. For example, most of the articles in Journal of Peking University must be Article and few are conference summaries. Our stereotype is that the academic nature of a journal will be affected if non-academic articles such as news and comments are published in the journal.

It is not the case with western journals. The picture above is a screenshot of a random volume of Nature magazine. It can be seen that there are more than a dozen kinds of columns in it, among which there are only three or four Articles under the RESEARCH that can be recognized as "cited items", the denominator of the calculation formula of the impact factor. Decreasing the denominator as much as possible will raise the impact factor - this is a very common method for academic journals to manipulate the impact factor. Many journals that are in the top ranking for impact factor all the year round apply this method, includingNature,Science,NEJM,Lancet, etc. Their academic articles only account for about 10% of all articles in each issue. This kind of journal with both academic and non-academic articles is called "dual publication". There are few dual publications in China, because there are basically all Articles in academic journals.
As for dual publications, some people may think that most of the cited articles are Articles. How much impact can the "non-cited items" such as news and insights have on the citation of the journal? The facts may be beyond your expectations. In the case of Lancet, one of the most famous medical journals, non-cited items contribute more than 50% of the citations of the journals - and this is only the "explicit contribution" of the detailed data. These non-academic articles also have "implicit contributions" to the citation of journals. To put it simply, the reading of these dual publications that include non-academic articles must be greater than that of academic journals, because the readership has increased; so "drainage of readership" will also increase the reading and citation of academic articles in the journal. Therefore, as long as various columns are set up in a journal and it is transformed into a fashion journal, the citations may increase -Naturehas science fiction columns.
In “Dual Publications”, a wide range of articles and a few Articles were published. Ten of the 20 journals with highest impact factors did so. The remaining 10 journals applied another way: focusing on reviews.
In China, reviews are attached less importance to than Articles because reviews are regarded with low originality, but for impact factors, review is an "advantage." Western scholars have researched and found that the citations of a review are usually several times that of an Article. Therefore, in this impact factor game, some journals have chosen to mainly publish reviews.
A typical example is that the journal with top impact factor,CA: A Cancer Journal for Clinicians, which is the only journal with an impact factor of more than 200. How is it endowed with such a high impact factor? The reason is that it publishes two reviews each year, one of which is a cancer statistics report published every year, and the other is a global cancer statistics report published every other year. The authors and structure of the articles are same, but the data is updated every year. It is these two reviews that make it always a top journal. It can be seen that reviews have a great influence on the impact factor, and game players who use this method account for half of the top 20 journals.The methods of dual publications and focusing on reviews are used by the 20 journals with top impact factors.
In addition, there are many other problems with the impact factor game.The calculation algorithm of the impact factor is negotiable.Take Lancet as an example. It divided Letter into two categories. The first category is subject to peer review. Thomson Reuters put this category into “cited items”. In this way the denominator increased, and Lancet's ranking immediately fell dozens of places. Lancet quickly negotiated with Thomson Reuters, and finally got all Letters eliminated from the citations, and Lancet's ranking came as high as before.A journal can spend money to be put on the SCI inclusion list. Garfield once shared the story of a journal that spent 100,000 dollars to subscribe to ISI products in order to be listed in the SCI directory. In addition, there are some tricks of the revocation of papers; and developing countries have been "suppressed" in the impact factor game.
Knowing what impact factor is and the common manipulating methods in impact factor games, we should perhaps reflect on blind respect for journals with high impact factor.
In addition to impact factors, another thing to be wary of for academic journals is the open access movement in full swing.
Open access movement
Open access refers to the free and open reading of journal articles. Generally, articles are reviewed quickly and published online in open access journals. This sounds like a good thing, but it is not the case. Will the journal not be profitable if the article is published for free? No, it just changes the nodes and objects of charging. In the past, academic journals were mainly subscribed. School libraries or scientific research institutions paid to subscribe to see journal articles. Under the open access movement, the full text of all articles is published for free, and readers do not have to pay money for accessing these articles. However, if someone wants to publish open access articles, the author needs to pay publication fees. Therefore, judging from the entire process of article publishing and reading, the overall cost has not been reduced, and it even costs more for the mode of charging the author. A typical example is the predatory journal that frantically grabs research funding.

Professor Jiang Xiaoyuan summarized the publication of Chinese writers in seven open access journals indexed by SCI. Professor Jiang said that the figures summarized in the table were very conservative estimates. According to the statistic, it can be inferred that the lower limit of the total cost contributed by Chinese authors to foreign open access journals is 760 million, and the actual cost may exceed 1 billion.
There are several main features of predatory journals: well-known scholars are included in the editorial board without authorization, and even the list of the editorial board is forged; the publication fee of the article is not specified, and the fee is charged by sending the bill, after receiving the article; words like International, Global, and World often appears in the names of the journals; the ISSN number is forged; the impact factor is forged; the office address marked on the website does not match the remittance address.
Professor Jiang Xiaoyuan said that China’s academic journals are now facing evaluation difficulties. The impact factor was introduced for its positive role, because as a tool for evaluating management, impact factor is very simple and intuitive. However, if we blindly pursue to publish articles in high-impact factor journals, but our own journals do not understand how to be among the top in the impact factor game, then it is tantamount to streaming all our outstanding achievements into foreign journals. We need to think about how to improve the international influence of our journals while ensuring academic reputation, and at the same time, we must view the impact factor more rationally.
After the report, Professor Zhang Daqing also shared the history of changes in the English version ofNational Medical Journal of China, and his views on academic journals. Professor Zhang pointed out that, in the West Many, the academic journals will keep up with current issues, publish their opinions on social events and global issues, and also pay attention to the social and scientific responsibilities of the researches during evaluation, which is different from the academic journals in China. Professor Jiang Xiaoyuan agrees with the point, and hopes that domestic academic journals can emancipate concepts and develop diverse academic publications in the future.

Finally, the audience asked Professor Jiang Xiaoyuan some questions about academic evaluation system and open access, and the brilliant lecture was ended in the heated discussion.